반응형
예전에 웹서핑을 하다가 라그랑주 보간법을 사용해서 달팽이 배열을 생성하는 글을 본 적이 있다. 그때 당시엔 '저런 방법도 있구나.. 신기하다..'하고 말았는데 이번 학기에 휴먼컴퓨터인터페이스 과목에서 라그랑주 다항식이 잠깐 나왔다.
그때 예전에 본 글이 생각나서 이번에 한번 라그랑주 보간법으로 달팽이 배열을 출력하는 코드를 짜보았다.
라그랑주 보간법은 특정한 점을 모두 지나는 다항식을 만드는 방법이다. 공식은 다음과 같다.

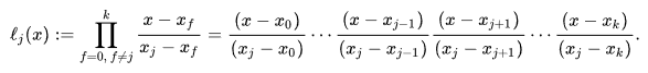
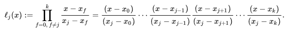
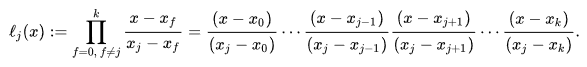
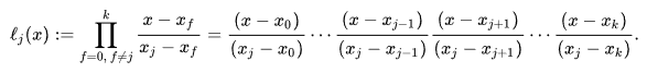
위 공식에서 l_j(x)의 공식은 아래와 같다.

이 공식을 이용해서 5x5 달팽이 행렬의 공식을 구하면
y = 1 * (x - 1) / (0 - 1) * (x - 2) / (0 - 2) * (x - 3) / (0 - 3) * (x - 4) / (0 - 4) * (x - 5) / (0 - 5) * (x - 6) / (0 - 6) * (x - 7) / (0 - 7) * (x - 8) / (0 - 8) * (x - 9) / (0 - 9) * (x - 10) / (0 - 10) * (x - 11) / (0 - 11) * (x - 12) / (0 - 12) * (x - 13) / (0 - 13) * (x - 14) / (0 - 14) * (x - 15) / (0 - 15) * (x - 16) / (0 - 16) * (x - 17) / (0 - 17) * (x - 18) / (0 - 18) * (x - 19) / (0 - 19) * (x - 20) / (0 - 20) * (x - 21) / (0 - 21) * (x - 22) / (0 - 22) * (x - 23) / (0 - 23) * (x - 24) / (0 - 24) + 2 * (x - 0) / (1 - 0) * (x - 2) / (1 - 2) * (x - 3) / (1 - 3) * (x - 4) / (1 - 4) * (x - 5) / (1 - 5) * (x - 6) / (1 - 6) * (x - 7) / (1 - 7) * (x - 8) / (1 - 8) * (x - 9) / (1 - 9) * (x - 10) / (1 - 10) * (x - 11) / (1 - 11) * (x - 12) / (1 - 12) * (x - 13) / (1 - 13) * (x - 14) / (1 - 14) * (x - 15) / (1 - 15) * (x - 16) / (1 - 16) * (x - 17) / (1 - 17) * (x - 18) / (1 - 18) * (x - 19) / (1 - 19) * (x - 20) / (1 - 20) * (x - 21) / (1 - 21) * (x - 22) / (1 - 22) * (x - 23) / (1 - 23) * (x - 24) / (1 - 24) + 3 * (x - 0) / (2 - 0) * (x - 1) / (2 - 1) * (x - 3) / (2 - 3) * (x - 4) / (2 - 4) * (x - 5) / (2 - 5) * (x - 6) / (2 - 6) * (x - 7) / (2 - 7) * (x - 8) / (2 - 8) * (x - 9) / (2 - 9) * (x - 10) / (2 - 10) * (x - 11) / (2 - 11) * (x - 12) / (2 - 12) * (x - 13) / (2 - 13) * (x - 14) / (2 - 14) * (x - 15) / (2 - 15) * (x - 16) / (2 - 16) * (x - 17) / (2 - 17) * (x - 18) / (2 - 18) * (x - 19) / (2 - 19) * (x - 20) / (2 - 20) * (x - 21) / (2 - 21) * (x - 22) / (2 - 22) * (x - 23) / (2 - 23) * (x - 24) / (2 - 24) + 4 * (x - 0) / (3 - 0) * (x - 1) / (3 - 1) * (x - 2) / (3 - 2) * (x - 4) / (3 - 4) * (x - 5) / (3 - 5) * (x - 6) / (3 - 6) * (x - 7) / (3 - 7) * (x - 8) / (3 - 8) * (x - 9) / (3 - 9) * (x - 10) / (3 - 10) * (x - 11) / (3 - 11) * (x - 12) / (3 - 12) * (x - 13) / (3 - 13) * (x - 14) / (3 - 14) * (x - 15) / (3 - 15) * (x - 16) / (3 - 16) * (x - 17) / (3 - 17) * (x - 18) / (3 - 18) * (x - 19) / (3 - 19) * (x - 20) / (3 - 20) * (x - 21) / (3 - 21) * (x - 22) / (3 - 22) * (x - 23) / (3 - 23) * (x - 24) / (3 - 24) + 5 * (x - 0) / (4 - 0) * (x - 1) / (4 - 1) * (x - 2) / (4 - 2) * (x - 3) / (4 - 3) * (x - 5) / (4 - 5) * (x - 6) / (4 - 6) * (x - 7) / (4 - 7) * (x - 8) / (4 - 8) * (x - 9) / (4 - 9) * (x - 10) / (4 - 10) * (x - 11) / (4 - 11) * (x - 12) / (4 - 12) * (x - 13) / (4 - 13) * (x - 14) / (4 - 14) * (x - 15) / (4 - 15) * (x - 16) / (4 - 16) * (x - 17) / (4 - 17) * (x - 18) / (4 - 18) * (x - 19) / (4 - 19) * (x - 20) / (4 - 20) * (x - 21) / (4 - 21) * (x - 22) / (4 - 22) * (x - 23) / (4 - 23) * (x - 24) / (4 - 24) + 16 * (x - 0) / (5 - 0) * (x - 1) / (5 - 1) * (x - 2) / (5 - 2) * (x - 3) / (5 - 3) * (x - 4) / (5 - 4) * (x - 6) / (5 - 6) * (x - 7) / (5 - 7) * (x - 8) / (5 - 8) * (x - 9) / (5 - 9) * (x - 10) / (5 - 10) * (x - 11) / (5 - 11) * (x - 12) / (5 - 12) * (x - 13) / (5 - 13) * (x - 14) / (5 - 14) * (x - 15) / (5 - 15) * (x - 16) / (5 - 16) * (x - 17) / (5 - 17) * (x - 18) / (5 - 18) * (x - 19) / (5 - 19) * (x - 20) / (5 - 20) * (x - 21) / (5 - 21) * (x - 22) / (5 - 22) * (x - 23) / (5 - 23) * (x - 24) / (5 - 24) + 17 * (x - 0) / (6 - 0) * (x - 1) / (6 - 1) * (x - 2) / (6 - 2) * (x - 3) / (6 - 3) * (x - 4) / (6 - 4) * (x - 5) / (6 - 5) * (x - 7) / (6 - 7) * (x - 8) / (6 - 8) * (x - 9) / (6 - 9) * (x - 10) / (6 - 10) * (x - 11) / (6 - 11) * (x - 12) / (6 - 12) * (x - 13) / (6 - 13) * (x - 14) / (6 - 14) * (x - 15) / (6 - 15) * (x - 16) / (6 - 16) * (x - 17) / (6 - 17) * (x - 18) / (6 - 18) * (x - 19) / (6 - 19) * (x - 20) / (6 - 20) * (x - 21) / (6 - 21) * (x - 22) / (6 - 22) * (x - 23) / (6 - 23) * (x - 24) / (6 - 24) + 18 * (x - 0) / (7 - 0) * (x - 1) / (7 - 1) * (x - 2) / (7 - 2) * (x - 3) / (7 - 3) * (x - 4) / (7 - 4) * (x - 5) / (7 - 5) * (x - 6) / (7 - 6) * (x - 8) / (7 - 8) * (x - 9) / (7 - 9) * (x - 10) / (7 - 10) * (x - 11) / (7 - 11) * (x - 12) / (7 - 12) * (x - 13) / (7 - 13) * (x - 14) / (7 - 14) * (x - 15) / (7 - 15) * (x - 16) / (7 - 16) * (x - 17) / (7 - 17) * (x - 18) / (7 - 18) * (x - 19) / (7 - 19) * (x - 20) / (7 - 20) * (x - 21) / (7 - 21) * (x - 22) / (7 - 22) * (x - 23) / (7 - 23) * (x - 24) / (7 - 24) + 19 * (x - 0) / (8 - 0) * (x - 1) / (8 - 1) * (x - 2) / (8 - 2) * (x - 3) / (8 - 3) * (x - 4) / (8 - 4) * (x - 5) / (8 - 5) * (x - 6) / (8 - 6) * (x - 7) / (8 - 7) * (x - 9) / (8 - 9) * (x - 10) / (8 - 10) * (x - 11) / (8 - 11) * (x - 12) / (8 - 12) * (x - 13) / (8 - 13) * (x - 14) / (8 - 14) * (x - 15) / (8 - 15) * (x - 16) / (8 - 16) * (x - 17) / (8 - 17) * (x - 18) / (8 - 18) * (x - 19) / (8 - 19) * (x - 20) / (8 - 20) * (x - 21) / (8 - 21) * (x - 22) / (8 - 22) * (x - 23) / (8 - 23) * (x - 24) / (8 - 24) + 6 * (x - 0) / (9 - 0) * (x - 1) / (9 - 1) * (x - 2) / (9 - 2) * (x - 3) / (9 - 3) * (x - 4) / (9 - 4) * (x - 5) / (9 - 5) * (x - 6) / (9 - 6) * (x - 7) / (9 - 7) * (x - 8) / (9 - 8) * (x - 10) / (9 - 10) * (x - 11) / (9 - 11) * (x - 12) / (9 - 12) * (x - 13) / (9 - 13) * (x - 14) / (9 - 14) * (x - 15) / (9 - 15) * (x - 16) / (9 - 16) * (x - 17) / (9 - 17) * (x - 18) / (9 - 18) * (x - 19) / (9 - 19) * (x - 20) / (9 - 20) * (x - 21) / (9 - 21) * (x - 22) / (9 - 22) * (x - 23) / (9 - 23) * (x - 24) / (9 - 24) + 15 * (x - 0) / (10 - 0) * (x - 1) / (10 - 1) * (x - 2) / (10 - 2) * (x - 3) / (10 - 3) * (x - 4) / (10 - 4) * (x - 5) / (10 - 5) * (x - 6) / (10 - 6) * (x - 7) / (10 - 7) * (x - 8) / (10 - 8) * (x - 9) / (10 - 9) * (x - 11) / (10 - 11) * (x - 12) / (10 - 12) * (x - 13) / (10 - 13) * (x - 14) / (10 - 14) * (x - 15) / (10 - 15) * (x - 16) / (10 - 16) * (x - 17) / (10 - 17) * (x - 18) / (10 - 18) * (x - 19) / (10 - 19) * (x - 20) / (10 - 20) * (x - 21) / (10 - 21) * (x - 22) / (10 - 22) * (x - 23) / (10 - 23) * (x - 24) / (10 - 24) + 24 * (x - 0) / (11 - 0) * (x - 1) / (11 - 1) * (x - 2) / (11 - 2) * (x - 3) / (11 - 3) * (x - 4) / (11 - 4) * (x - 5) / (11 - 5) * (x - 6) / (11 - 6) * (x - 7) / (11 - 7) * (x - 8) / (11 - 8) * (x - 9) / (11 - 9) * (x - 10) / (11 - 10) * (x - 12) / (11 - 12) * (x - 13) / (11 - 13) * (x - 14) / (11 - 14) * (x - 15) / (11 - 15) * (x - 16) / (11 - 16) * (x - 17) / (11 - 17) * (x - 18) / (11 - 18) * (x - 19) / (11 - 19) * (x - 20) / (11 - 20) * (x - 21) / (11 - 21) * (x - 22) / (11 - 22) * (x - 23) / (11 - 23) * (x - 24) / (11 - 24) + 25 * (x - 0) / (12 - 0) * (x - 1) / (12 - 1) * (x - 2) / (12 - 2) * (x - 3) / (12 - 3) * (x - 4) / (12 - 4) * (x - 5) / (12 - 5) * (x - 6) / (12 - 6) * (x - 7) / (12 - 7) * (x - 8) / (12 - 8) * (x - 9) / (12 - 9) * (x - 10) / (12 - 10) * (x - 11) / (12 - 11) * (x - 13) / (12 - 13) * (x - 14) / (12 - 14) * (x - 15) / (12 - 15) * (x - 16) / (12 - 16) * (x - 17) / (12 - 17) * (x - 18) / (12 - 18) * (x - 19) / (12 - 19) * (x - 20) / (12 - 20) * (x - 21) / (12 - 21) * (x - 22) / (12 - 22) * (x - 23) / (12 - 23) * (x - 24) / (12 - 24) + 20 * (x - 0) / (13 - 0) * (x - 1) / (13 - 1) * (x - 2) / (13 - 2) * (x - 3) / (13 - 3) * (x - 4) / (13 - 4) * (x - 5) / (13 - 5) * (x - 6) / (13 - 6) * (x - 7) / (13 - 7) * (x - 8) / (13 - 8) * (x - 9) / (13 - 9) * (x - 10) / (13 - 10) * (x - 11) / (13 - 11) * (x - 12) / (13 - 12) * (x - 14) / (13 - 14) * (x - 15) / (13 - 15) * (x - 16) / (13 - 16) * (x - 17) / (13 - 17) * (x - 18) / (13 - 18) * (x - 19) / (13 - 19) * (x - 20) / (13 - 20) * (x - 21) / (13 - 21) * (x - 22) / (13 - 22) * (x - 23) / (13 - 23) * (x - 24) / (13 - 24) + 7 * (x - 0) / (14 - 0) * (x - 1) / (14 - 1) * (x - 2) / (14 - 2) * (x - 3) / (14 - 3) * (x - 4) / (14 - 4) * (x - 5) / (14 - 5) * (x - 6) / (14 - 6) * (x - 7) / (14 - 7) * (x - 8) / (14 - 8) * (x - 9) / (14 - 9) * (x - 10) / (14 - 10) * (x - 11) / (14 - 11) * (x - 12) / (14 - 12) * (x - 13) / (14 - 13) * (x - 15) / (14 - 15) * (x - 16) / (14 - 16) * (x - 17) / (14 - 17) * (x - 18) / (14 - 18) * (x - 19) / (14 - 19) * (x - 20) / (14 - 20) * (x - 21) / (14 - 21) * (x - 22) / (14 - 22) * (x - 23) / (14 - 23) * (x - 24) / (14 - 24) + 14 * (x - 0) / (15 - 0) * (x - 1) / (15 - 1) * (x - 2) / (15 - 2) * (x - 3) / (15 - 3) * (x - 4) / (15 - 4) * (x - 5) / (15 - 5) * (x - 6) / (15 - 6) * (x - 7) / (15 - 7) * (x - 8) / (15 - 8) * (x - 9) / (15 - 9) * (x - 10) / (15 - 10) * (x - 11) / (15 - 11) * (x - 12) / (15 - 12) * (x - 13) / (15 - 13) * (x - 14) / (15 - 14) * (x - 16) / (15 - 16) * (x - 17) / (15 - 17) * (x - 18) / (15 - 18) * (x - 19) / (15 - 19) * (x - 20) / (15 - 20) * (x - 21) / (15 - 21) * (x - 22) / (15 - 22) * (x - 23) / (15 - 23) * (x - 24) / (15 - 24) + 23 * (x - 0) / (16 - 0) * (x - 1) / (16 - 1) * (x - 2) / (16 - 2) * (x - 3) / (16 - 3) * (x - 4) / (16 - 4) * (x - 5) / (16 - 5) * (x - 6) / (16 - 6) * (x - 7) / (16 - 7) * (x - 8) / (16 - 8) * (x - 9) / (16 - 9) * (x - 10) / (16 - 10) * (x - 11) / (16 - 11) * (x - 12) / (16 - 12) * (x - 13) / (16 - 13) * (x - 14) / (16 - 14) * (x - 15) / (16 - 15) * (x - 17) / (16 - 17) * (x - 18) / (16 - 18) * (x - 19) / (16 - 19) * (x - 20) / (16 - 20) * (x - 21) / (16 - 21) * (x - 22) / (16 - 22) * (x - 23) / (16 - 23) * (x - 24) / (16 - 24) + 22 * (x - 0) / (17 - 0) * (x - 1) / (17 - 1) * (x - 2) / (17 - 2) * (x - 3) / (17 - 3) * (x - 4) / (17 - 4) * (x - 5) / (17 - 5) * (x - 6) / (17 - 6) * (x - 7) / (17 - 7) * (x - 8) / (17 - 8) * (x - 9) / (17 - 9) * (x - 10) / (17 - 10) * (x - 11) / (17 - 11) * (x - 12) / (17 - 12) * (x - 13) / (17 - 13) * (x - 14) / (17 - 14) * (x - 15) / (17 - 15) * (x - 16) / (17 - 16) * (x - 18) / (17 - 18) * (x - 19) / (17 - 19) * (x - 20) / (17 - 20) * (x - 21) / (17 - 21) * (x - 22) / (17 - 22) * (x - 23) / (17 - 23) * (x - 24) / (17 - 24) + 21 * (x - 0) / (18 - 0) * (x - 1) / (18 - 1) * (x - 2) / (18 - 2) * (x - 3) / (18 - 3) * (x - 4) / (18 - 4) * (x - 5) / (18 - 5) * (x - 6) / (18 - 6) * (x - 7) / (18 - 7) * (x - 8) / (18 - 8) * (x - 9) / (18 - 9) * (x - 10) / (18 - 10) * (x - 11) / (18 - 11) * (x - 12) / (18 - 12) * (x - 13) / (18 - 13) * (x - 14) / (18 - 14) * (x - 15) / (18 - 15) * (x - 16) / (18 - 16) * (x - 17) / (18 - 17) * (x - 19) / (18 - 19) * (x - 20) / (18 - 20) * (x - 21) / (18 - 21) * (x - 22) / (18 - 22) * (x - 23) / (18 - 23) * (x - 24) / (18 - 24) + 8 * (x - 0) / (19 - 0) * (x - 1) / (19 - 1) * (x - 2) / (19 - 2) * (x - 3) / (19 - 3) * (x - 4) / (19 - 4) * (x - 5) / (19 - 5) * (x - 6) / (19 - 6) * (x - 7) / (19 - 7) * (x - 8) / (19 - 8) * (x - 9) / (19 - 9) * (x - 10) / (19 - 10) * (x - 11) / (19 - 11) * (x - 12) / (19 - 12) * (x - 13) / (19 - 13) * (x - 14) / (19 - 14) * (x - 15) / (19 - 15) * (x - 16) / (19 - 16) * (x - 17) / (19 - 17) * (x - 18) / (19 - 18) * (x - 20) / (19 - 20) * (x - 21) / (19 - 21) * (x - 22) / (19 - 22) * (x - 23) / (19 - 23) * (x - 24) / (19 - 24) + 13 * (x - 0) / (20 - 0) * (x - 1) / (20 - 1) * (x - 2) / (20 - 2) * (x - 3) / (20 - 3) * (x - 4) / (20 - 4) * (x - 5) / (20 - 5) * (x - 6) / (20 - 6) * (x - 7) / (20 - 7) * (x - 8) / (20 - 8) * (x - 9) / (20 - 9) * (x - 10) / (20 - 10) * (x - 11) / (20 - 11) * (x - 12) / (20 - 12) * (x - 13) / (20 - 13) * (x - 14) / (20 - 14) * (x - 15) / (20 - 15) * (x - 16) / (20 - 16) * (x - 17) / (20 - 17) * (x - 18) / (20 - 18) * (x - 19) / (20 - 19) * (x - 21) / (20 - 21) * (x - 22) / (20 - 22) * (x - 23) / (20 - 23) * (x - 24) / (20 - 24) + 12 * (x - 0) / (21 - 0) * (x - 1) / (21 - 1) * (x - 2) / (21 - 2) * (x - 3) / (21 - 3) * (x - 4) / (21 - 4) * (x - 5) / (21 - 5) * (x - 6) / (21 - 6) * (x - 7) / (21 - 7) * (x - 8) / (21 - 8) * (x - 9) / (21 - 9) * (x - 10) / (21 - 10) * (x - 11) / (21 - 11) * (x - 12) / (21 - 12) * (x - 13) / (21 - 13) * (x - 14) / (21 - 14) * (x - 15) / (21 - 15) * (x - 16) / (21 - 16) * (x - 17) / (21 - 17) * (x - 18) / (21 - 18) * (x - 19) / (21 - 19) * (x - 20) / (21 - 20) * (x - 22) / (21 - 22) * (x - 23) / (21 - 23) * (x - 24) / (21 - 24) + 11 * (x - 0) / (22 - 0) * (x - 1) / (22 - 1) * (x - 2) / (22 - 2) * (x - 3) / (22 - 3) * (x - 4) / (22 - 4) * (x - 5) / (22 - 5) * (x - 6) / (22 - 6) * (x - 7) / (22 - 7) * (x - 8) / (22 - 8) * (x - 9) / (22 - 9) * (x - 10) / (22 - 10) * (x - 11) / (22 - 11) * (x - 12) / (22 - 12) * (x - 13) / (22 - 13) * (x - 14) / (22 - 14) * (x - 15) / (22 - 15) * (x - 16) / (22 - 16) * (x - 17) / (22 - 17) * (x - 18) / (22 - 18) * (x - 19) / (22 - 19) * (x - 20) / (22 - 20) * (x - 21) / (22 - 21) * (x - 23) / (22 - 23) * (x - 24) / (22 - 24) + 10 * (x - 0) / (23 - 0) * (x - 1) / (23 - 1) * (x - 2) / (23 - 2) * (x - 3) / (23 - 3) * (x - 4) / (23 - 4) * (x - 5) / (23 - 5) * (x - 6) / (23 - 6) * (x - 7) / (23 - 7) * (x - 8) / (23 - 8) * (x - 9) / (23 - 9) * (x - 10) / (23 - 10) * (x - 11) / (23 - 11) * (x - 12) / (23 - 12) * (x - 13) / (23 - 13) * (x - 14) / (23 - 14) * (x - 15) / (23 - 15) * (x - 16) / (23 - 16) * (x - 17) / (23 - 17) * (x - 18) / (23 - 18) * (x - 19) / (23 - 19) * (x - 20) / (23 - 20) * (x - 21) / (23 - 21) * (x - 22) / (23 - 22) * (x - 24) / (23 - 24) + 9 * (x - 0) / (24 - 0) * (x - 1) / (24 - 1) * (x - 2) / (24 - 2) * (x - 3) / (24 - 3) * (x - 4) / (24 - 4) * (x - 5) / (24 - 5) * (x - 6) / (24 - 6) * (x - 7) / (24 - 7) * (x - 8) / (24 - 8) * (x - 9) / (24 - 9) * (x - 10) / (24 - 10) * (x - 11) / (24 - 11) * (x - 12) / (24 - 12) * (x - 13) / (24 - 13) * (x - 14) / (24 - 14) * (x - 15) / (24 - 15) * (x - 16) / (24 - 16) * (x - 17) / (24 - 17) * (x - 18) / (24 - 18) * (x - 19) / (24 - 19) * (x - 20) / (24 - 20) * (x - 21) / (24 - 21) * (x - 22) / (24 - 22) * (x - 23) / (24 - 23)
...... 사실 일일이 적으려다가 빡쳐서 간단하게 공식 출력하는 프로그램 만들어서 출력했다. 일일이 적는 시간 > (넘사벽) > 코딩 시간
아무튼 이 공식을 토대로 프로그램을 짜면
#include <stdio.h>
int main(void)
{
int i, j, x, y;
for (i = 0; i < 5; i++)
{
for (j = 0; j < 5; j++)
{
x = i * 5 + j;
y = (x - 1) / -1 * (x - 2) / -2 * (x - 3) / -3 * (x - 4) / -4 * (x - 5) / -5 * (x - 6) / -6 * (x - 7) / -7 * (x - 8) / -8 * (x - 9) / -9 * (x - 10) / -10 * (x - 11) / -11 * (x - 12) / -12 * (x - 13) / -13 * (x - 14) / -14 * (x - 15) / -15 * (x - 16) / -16 * (x - 17) / -17 * (x - 18) / -18 * (x - 19) / -19 * (x - 20) / -20 * (x - 21) / -21 * (x - 22) / -22 * (x - 23) / -23 * (x - 24) / -24
+ 2 * x / 1 * (x - 2) / -1 * (x - 3) / -2 * (x - 4) / -3 * (x - 5) / -4 * (x - 6) / -5 * (x - 7) / -6 * (x - 8) / -7 * (x - 9) / -8 * (x - 10) / -9 * (x - 11) / -10 * (x - 12) / -11 * (x - 13) / -12 * (x - 14) / -13 * (x - 15) / -14 * (x - 16) / -15 * (x - 17) / -16 * (x - 18) / -17 * (x - 19) / -18 * (x - 20) / -19 * (x - 21) / -20 * (x - 22) / -21 * (x - 23) / -22 * (x - 24) / -23
+ 3 * x / 2 * (x - 1) / 1 * (x - 3) / -1 * (x - 4) / -2 * (x - 5) / -3 * (x - 6) / -4 * (x - 7) / -5 * (x - 8) / -6 * (x - 9) / -7 * (x - 10) / -8 * (x - 11) / -9 * (x - 12) / -10 * (x - 13) / -11 * (x - 14) / -12 * (x - 15) / -13 * (x - 16) / -14 * (x - 17) / -15 * (x - 18) / -16 * (x - 19) / -17 * (x - 20) / -18 * (x - 21) / -19 * (x - 22) / -20 * (x - 23) / -21 * (x - 24) / -22
+ 4 * x / 3 * (x - 1) / 2 * (x - 2) / 1 * (x - 4) / -1 * (x - 5) / -2 * (x - 6) / -3 * (x - 7) / -4 * (x - 8) / -5 * (x - 9) / -6 * (x - 10) / -7 * (x - 11) / -8 * (x - 12) / -9 * (x - 13) / -10 * (x - 14) / -11 * (x - 15) / -12 * (x - 16) / -13 * (x - 17) / -14 * (x - 18) / -15 * (x - 19) / -16 * (x - 20) / -17 * (x - 21) / -18 * (x - 22) / -19 * (x - 23) / -20 * (x - 24) / -21
+ 5 * x / 4 * (x - 1) / 3 * (x - 2) / 2 * (x - 3) / 1 * (x - 5) / -1 * (x - 6) / -2 * (x - 7) / -3 * (x - 8) / -4 * (x - 9) / -5 * (x - 10) / -6 * (x - 11) / -7 * (x - 12) / -8 * (x - 13) / -9 * (x - 14) / -10 * (x - 15) / -11 * (x - 16) / -12 * (x - 17) / -13 * (x - 18) / -14 * (x - 19) / -15 * (x - 20) / -16 * (x - 21) / -17 * (x - 22) / -18 * (x - 23) / -19 * (x - 24) / -20
+ 16 * x / 5 * (x - 1) / 4 * (x - 2) / 3 * (x - 3) / 2 * (x - 4) / 1 * (x - 6) / -1 * (x - 7) / -2 * (x - 8) / -3 * (x - 9) / -4 * (x - 10) / -5 * (x - 11) / -6 * (x - 12) / -7 * (x - 13) / -8 * (x - 14) / -9 * (x - 15) / -10 * (x - 16) / -11 * (x - 17) / -12 * (x - 18) / -13 * (x - 19) / -14 * (x - 20) / -15 * (x - 21) / -16 * (x - 22) / -17 * (x - 23) / -18 * (x - 24) / -19
+ 17 * x / 6 * (x - 1) / 5 * (x - 2) / 4 * (x - 3) / 3 * (x - 4) / 2 * (x - 5) / 1 * (x - 7) / -1 * (x - 8) / -2 * (x - 9) / -3 * (x - 10) / -4 * (x - 11) / -5 * (x - 12) / -6 * (x - 13) / -7 * (x - 14) / -8 * (x - 15) / -9 * (x - 16) / -10 * (x - 17) / -11 * (x - 18) / -12 * (x - 19) / -13 * (x - 20) / -14 * (x - 21) / -15 * (x - 22) / -16 * (x - 23) / -17 * (x - 24) / -18
+ 18 * x / 7 * (x - 1) / 6 * (x - 2) / 5 * (x - 3) / 4 * (x - 4) / 3 * (x - 5) / 2 * (x - 6) / 1 * (x - 8) / -1 * (x - 9) / -2 * (x - 10) / -3 * (x - 11) / -4 * (x - 12) / -5 * (x - 13) / -6 * (x - 14) / -7 * (x - 15) / -8 * (x - 16) / -9 * (x - 17) / -10 * (x - 18) / -11 * (x - 19) / -12 * (x - 20) / -13 * (x - 21) / -14 * (x - 22) / -15 * (x - 23) / -16 * (x - 24) / -17
+ 19 * x / 8 * (x - 1) / 7 * (x - 2) / 6 * (x - 3) / 5 * (x - 4) / 4 * (x - 5) / 3 * (x - 6) / 2 * (x - 7) / 1 * (x - 9) / -1 * (x - 10) / -2 * (x - 11) / -3 * (x - 12) / -4 * (x - 13) / -5 * (x - 14) / -6 * (x - 15) / -7 * (x - 16) / -8 * (x - 17) / -9 * (x - 18) / -10 * (x - 19) / -11 * (x - 20) / -12 * (x - 21) / -13 * (x - 22) / -14 * (x - 23) / -15 * (x - 24) / -16
+ 6 * x / 9 * (x - 1) / 8 * (x - 2) / 7 * (x - 3) / 6 * (x - 4) / 5 * (x - 5) / 4 * (x - 6) / 3 * (x - 7) / 2 * (x - 8) / 1 * (x - 10) / -1 * (x - 11) / -2 * (x - 12) / -3 * (x - 13) / -4 * (x - 14) / -5 * (x - 15) / -6 * (x - 16) / -7 * (x - 17) / -8 * (x - 18) / -9 * (x - 19) / -10 * (x - 20) / -11 * (x - 21) / -12 * (x - 22) / -13 * (x - 23) / -14 * (x - 24) / -15
+ 15 * x / 10 * (x - 1) / 9 * (x - 2) / 8 * (x - 3) / 7 * (x - 4) / 6 * (x - 5) / 5 * (x - 6) / 4 * (x - 7) / 3 * (x - 8) / 2 * (x - 9) / 1 * (x - 11) / -1 * (x - 12) / -2 * (x - 13) / -3 * (x - 14) / -4 * (x - 15) / -5 * (x - 16) / -6 * (x - 17) / -7 * (x - 18) / -8 * (x - 19) / -9 * (x - 20) / -10 * (x - 21) / -11 * (x - 22) / -12 * (x - 23) / -13 * (x - 24) / -14
+ 24 * x / 11 * (x - 1) / 10 * (x - 2) / 9 * (x - 3) / 8 * (x - 4) / 7 * (x - 5) / 6 * (x - 6) / 5 * (x - 7) / 4 * (x - 8) / 3 * (x - 9) / 2 * (x - 10) / 1 * (x - 12) / -1 * (x - 13) / -2 * (x - 14) / -3 * (x - 15) / -4 * (x - 16) / -5 * (x - 17) / -6 * (x - 18) / -7 * (x - 19) / -8 * (x - 20) / -9 * (x - 21) / -10 * (x - 22) / -11 * (x - 23) / -12 * (x - 24) / -13
+ 25 * x / 12 * (x - 1) / 11 * (x - 2) / 10 * (x - 3) / 9 * (x - 4) / 8 * (x - 5) / 7 * (x - 6) / 6 * (x - 7) / 5 * (x - 8) / 4 * (x - 9) / 3 * (x - 10) / 2 * (x - 11) / 1 * (x - 13) / -1 * (x - 14) / -2 * (x - 15) / -3 * (x - 16) / -4 * (x - 17) / -5 * (x - 18) / -6 * (x - 19) / -7 * (x - 20) / -8 * (x - 21) / -9 * (x - 22) / -10 * (x - 23) / -11 * (x - 24) / -12
+ 20 * x / 13 * (x - 1) / 12 * (x - 2) / 11 * (x - 3) / 10 * (x - 4) / 9 * (x - 5) / 8 * (x - 6) / 7 * (x - 7) / 6 * (x - 8) / 5 * (x - 9) / 4 * (x - 10) / 3 * (x - 11) / 2 * (x - 12) / 1 * (x - 14) / -1 * (x - 15) / -2 * (x - 16) / -3 * (x - 17) / -4 * (x - 18) / -5 * (x - 19) / -6 * (x - 20) / -7 * (x - 21) / -8 * (x - 22) / -9 * (x - 23) / -10 * (x - 24) / -11
+ 7 * x / 14 * (x - 1) / 13 * (x - 2) / 12 * (x - 3) / 11 * (x - 4) / 10 * (x - 5) / 9 * (x - 6) / 8 * (x - 7) / 7 * (x - 8) / 6 * (x - 9) / 5 * (x - 10) / 4 * (x - 11) / 3 * (x - 12) / 2 * (x - 13) / 1 * (x - 15) / -1 * (x - 16) / -2 * (x - 17) / -3 * (x - 18) / -4 * (x - 19) / -5 * (x - 20) / -6 * (x - 21) / -7 * (x - 22) / -8 * (x - 23) / -9 * (x - 24) / -10
+ 14 * x / 15 * (x - 1) / 14 * (x - 2) / 13 * (x - 3) / 12 * (x - 4) / 11 * (x - 5) / 10 * (x - 6) / 9 * (x - 7) / 8 * (x - 8) / 7 * (x - 9) / 6 * (x - 10) / 5 * (x - 11) / 4 * (x - 12) / 3 * (x - 13) / 2 * (x - 14) / 1 * (x - 16) / -1 * (x - 17) / -2 * (x - 18) / -3 * (x - 19) / -4 * (x - 20) / -5 * (x - 21) / -6 * (x - 22) / -7 * (x - 23) / -8 * (x - 24) / -9
+ 23 * x / 16 * (x - 1) / 15 * (x - 2) / 14 * (x - 3) / 13 * (x - 4) / 12 * (x - 5) / 11 * (x - 6) / 10 * (x - 7) / 9 * (x - 8) / 8 * (x - 9) / 7 * (x - 10) / 6 * (x - 11) / 5 * (x - 12) / 4 * (x - 13) / 3 * (x - 14) / 2 * (x - 15) / 1 * (x - 17) / -1 * (x - 18) / -2 * (x - 19) / -3 * (x - 20) / -4 * (x - 21) / -5 * (x - 22) / -6 * (x - 23) / -7 * (x - 24) / -8
+ 22 * x / 17 * (x - 1) / 16 * (x - 2) / 15 * (x - 3) / 14 * (x - 4) / 13 * (x - 5) / 12 * (x - 6) / 11 * (x - 7) / 10 * (x - 8) / 9 * (x - 9) / 8 * (x - 10) / 7 * (x - 11) / 6 * (x - 12) / 5 * (x - 13) / 4 * (x - 14) / 3 * (x - 15) / 2 * (x - 16) / 1 * (x - 18) / -1 * (x - 19) / -2 * (x - 20) / -3 * (x - 21) / -4 * (x - 22) / -5 * (x - 23) / -6 * (x - 24) / -7
+ 21 * x / 18 * (x - 1) / 17 * (x - 2) / 16 * (x - 3) / 15 * (x - 4) / 14 * (x - 5) / 13 * (x - 6) / 12 * (x - 7) / 11 * (x - 8) / 10 * (x - 9) / 9 * (x - 10) / 8 * (x - 11) / 7 * (x - 12) / 6 * (x - 13) / 5 * (x - 14) / 4 * (x - 15) / 3 * (x - 16) / 2 * (x - 17) / 1 * (x - 19) / -1 * (x - 20) / -2 * (x - 21) / -3 * (x - 22) / -4 * (x - 23) / -5 * (x - 24) / -6
+ 8 * x / 19 * (x - 1) / 18 * (x - 2) / 17 * (x - 3) / 16 * (x - 4) / 15 * (x - 5) / 14 * (x - 6) / 13 * (x - 7) / 12 * (x - 8) / 11 * (x - 9) / 10 * (x - 10) / 9 * (x - 11) / 8 * (x - 12) / 7 * (x - 13) / 6 * (x - 14) / 5 * (x - 15) / 4 * (x - 16) / 3 * (x - 17) / 2 * (x - 18) / 1 * (x - 20) / -1 * (x - 21) / -2 * (x - 22) / -3 * (x - 23) / -4 * (x - 24) / -5
+ 13 * x / 20 * (x - 1) / 19 * (x - 2) / 18 * (x - 3) / 17 * (x - 4) / 16 * (x - 5) / 15 * (x - 6) / 14 * (x - 7) / 13 * (x - 8) / 12 * (x - 9) / 11 * (x - 10) / 10 * (x - 11) / 9 * (x - 12) / 8 * (x - 13) / 7 * (x - 14) / 6 * (x - 15) / 5 * (x - 16) / 4 * (x - 17) / 3 * (x - 18) / 2 * (x - 19) / 1 * (x - 21) / -1 * (x - 22) / -2 * (x - 23) / -3 * (x - 24) / -4
+ 12 * x / 21 * (x - 1) / 20 * (x - 2) / 19 * (x - 3) / 18 * (x - 4) / 17 * (x - 5) / 16 * (x - 6) / 15 * (x - 7) / 14 * (x - 8) / 13 * (x - 9) / 12 * (x - 10) / 11 * (x - 11) / 10 * (x - 12) / 9 * (x - 13) / 8 * (x - 14) / 7 * (x - 15) / 6 * (x - 16) / 5 * (x - 17) / 4 * (x - 18) / 3 * (x - 19) / 2 * (x - 20) / 1 * (x - 22) / -1 * (x - 23) / -2 * (x - 24) / -3
+ 11 * x / 22 * (x - 1) / 21 * (x - 2) / 20 * (x - 3) / 19 * (x - 4) / 18 * (x - 5) / 17 * (x - 6) / 16 * (x - 7) / 15 * (x - 8) / 14 * (x - 9) / 13 * (x - 10) / 12 * (x - 11) / 11 * (x - 12) / 10 * (x - 13) / 9 * (x - 14) / 8 * (x - 15) / 7 * (x - 16) / 6 * (x - 17) / 5 * (x - 18) / 4 * (x - 19) / 3 * (x - 20) / 2 * (x - 21) / 1 * (x - 23) / -1 * (x - 24) / -2
+ 10 * x / 23 * (x - 1) / 22 * (x - 2) / 21 * (x - 3) / 20 * (x - 4) / 19 * (x - 5) / 18 * (x - 6) / 17 * (x - 7) / 16 * (x - 8) / 15 * (x - 9) / 14 * (x - 10) / 13 * (x - 11) / 12 * (x - 12) / 11 * (x - 13) / 10 * (x - 14) / 9 * (x - 15) / 8 * (x - 16) / 7 * (x - 17) / 6 * (x - 18) / 5 * (x - 19) / 4 * (x - 20) / 3 * (x - 21) / 2 * (x - 22) / 1 * (x - 24) / -1
+ 9 * x / 24 * (x - 1) / 23 * (x - 2) / 22 * (x - 3) / 21 * (x - 4) / 20 * (x - 5) / 19 * (x - 6) / 18 * (x - 7) / 17 * (x - 8) / 16 * (x - 9) / 15 * (x - 10) / 14 * (x - 11) / 13 * (x - 12) / 12 * (x - 13) / 11 * (x - 14) / 10 * (x - 15) / 9 * (x - 16) / 8 * (x - 17) / 7 * (x - 18) / 6 * (x - 19) / 5 * (x - 20) / 4 * (x - 21) / 3 * (x - 22) / 2 * (x - 23) / 1;
printf("%3d", y);
}
printf("\n");
}
return 0;
}
실행결과는 아래와 같다.

반응형
'프로그래밍 > C | C++' 카테고리의 다른 글
| [백준] 4673번: 셀프 넘버 (0) | 2019.10.05 |
|---|---|
| [백준] 1546번: 평균 (0) | 2019.09.29 |
| [백준] 3052번: 나머지 (0) | 2019.09.14 |
| [백준] 2920번: 음계 (0) | 2019.09.12 |
| 삼진 탐색 (Ternary search) (0) | 2019.07.06 |
| 다양한 피보나치 수열 알고리즘 (0) | 2019.07.04 |
| [C++] 포식자-먹이 시뮬레이션 (0) | 2019.06.24 |
| [C] 2차원 배열 회전하기 (0) | 2019.06.20 |


